高数积分公式大全
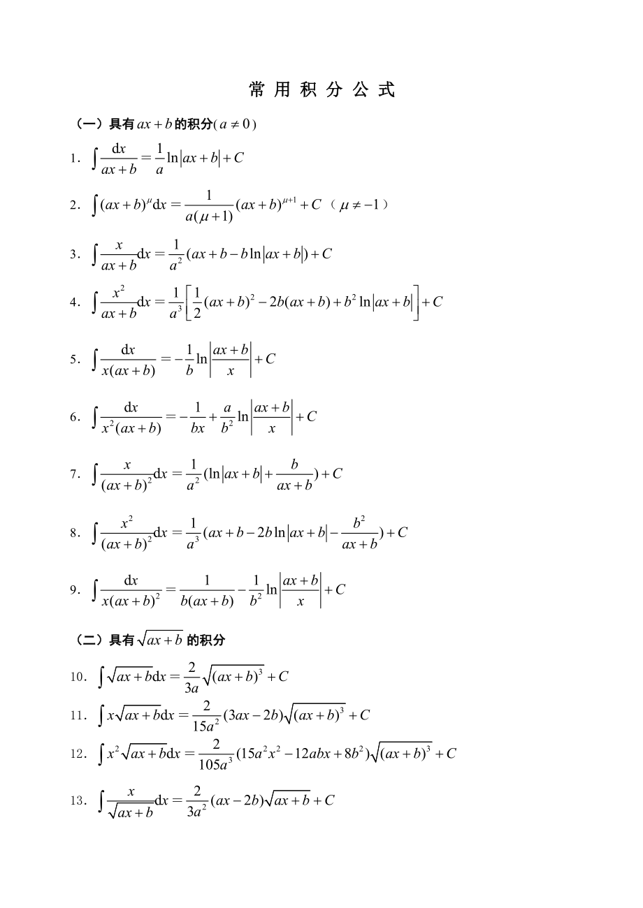
常 用 积 分 公 式(一)具有的积分()1.= 2.=()3.=4.=5.=6.=7.=8.=9.=(二)具有的积分10.=11.=12.=13.=14.=15.=16.=17.=18.=(三)具有的积分19.=20.=21.=(四)具有的积分22.=23.=24.=25.=26.=27.=28.=(五)具有的积分29.=30.=(六)具有的积分31.==32.=33.=34.=35.=36.=37.=38.=39.=40.=41.=42.=43.=44.=(七)具有的积分45.==46.=47.=48.=49.=50.=51.=52.=53.=54.=55.=56.=57.=58.=(八)具有的积分59.=60.=61.=62.=63.=64.=65.=66.=67.=68.=69.=70.=71.=72.=(九)具有的积分73.=74.= 75.= 76.=77.=78.=(十)具有或的积分79.=80.=81.=82.= (十一)具有三角函数的积分83.=84.=85.=86.=87.==88.==89.=90.=91.=92.=93.=94.=95.=96.=97.=98.=99.==100.=101.=102.=103.=104.=105.=106.=107.=108.=109.=110.=111.=112.=(十二)具有反三角函数的积分(其中)113.=114.=115.=116.=117.=118.=119.=120.=121.=(十三)具有指数函数的积分122.=123.=124.=125.=126.=127.=128.=129.=130.= 131.= (十四)具有对数函数的积分132.=133.=134.=135.=136.=(十五)具有双曲函数的积分137.=138.=139.=140.=141.=(十六)定积分142.==0143.=0144.=145.=146.==147. == = (为不小于1的正奇数),=1(为正偶数),= 。




