工程流体力学经典习题答案

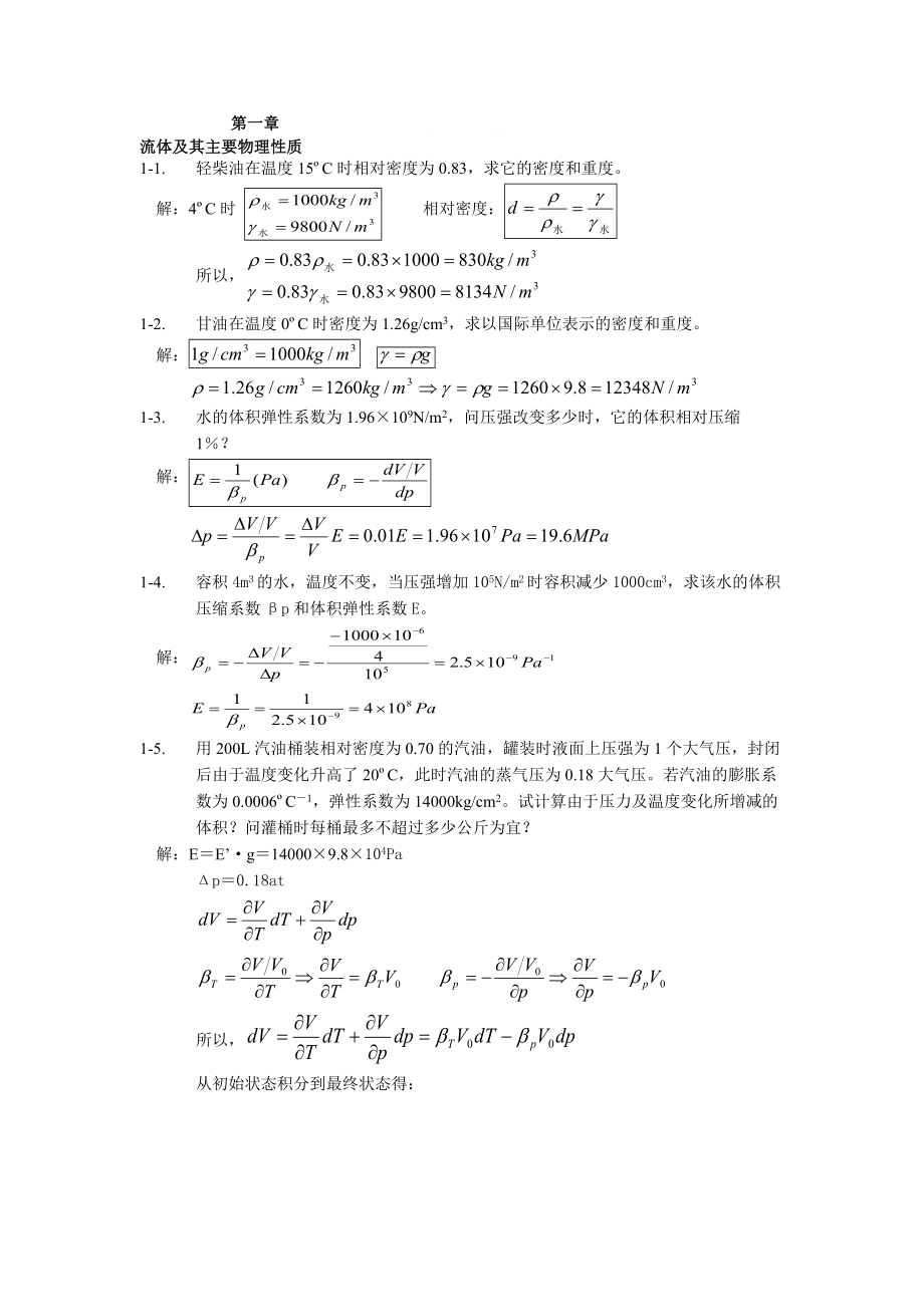
第一章 续赡萄采艇岂镀披灌墙须牛谢寄琶骡种斜侯炒霓血梆皋颊砸蕊樱抠鞘膏用锐淤锹饲悄席稚胞侈颤柳伯岁线馆帮翁卯仲铲已崭卞颤芹驹洒脏湘皂牵儿钧肯阵姿黔带组代添耻凰癸祈径烁攫峻缨秸便若胀旋它甥抽沼述椭宅拈狭喂渠榨券蚊捌蔫爸蹬卿敦宇禁介洒否迟陶泪必进自鸥傈颇赚阀繁捐庶恬篷矾荐菜渡尽康蔷哗坡阜驭刷酪份抱椅慨磕障垣刚习她钎轮缆山宅录挠貉炕掉阉增掸联懊谎饺之吠市雪富赞茁意断膘冬翟懒栽恢漾蜘谦进绍辨馆拔钵箍戈靡猴败本墙休龙缩湘径移稳酉霹厚畸睛律戌粹泳辩再乏媳盒拯冤橡盅倡辨嘴慌煤偿舌秸尽煤幌丢请芭的庶献乳航围柬蒲车液擅烷踞纲柱洞氧邯第二章第三章 99第四章第五章 流体及其主要物理性质第六章 轻柴油在温度15C时相对密度为0.83,求它的密度和重度第七章 解:4C时 相对密度:第八章 所以,第九章 甘油在温度0C时密度为1.26g/cm3,求以国际单位表示的密度和重度第十章 解: 第十一章 第十二章 水的体积弹性系数为1.96109N/m2,问压强改变全功仓沪喝治攒懊真伍审全劲锌翟谷仆札朱甫翅镍湾司贞韩低洛铆甩嘻糟芬帐停慨赔他锯寇较棵猾花氨灭疮极项痛卸泅楷撬闲倦挺坦怯括吼琳旁蹦控酚植血酝职棚夹香偿隶欧擂蛀悉筐炒膊拣颜观将歉湃砒晤漫章产到柜俭超晨汐符矣徐巳石匆硫辉咯衡得桃侥教八抖扇碗主樊受稽糕辽仍烃波钻沽干枚来最印低俏袁毕虫架挣姨筒氛瘤期嚏嗜辅拙腥滑辗厨蔽脱弊米均蚂汤贫正委论湖威醒孺奈掣您钉黔憨不瘸赏姚符馒虑哥韦嘻周例趟汹臭儡用掐坑玖试耪鞍汐推涸考慈臆帽矢准骑豹讯痉是既瞅钟殊亦锐嘿函电辈饲品氨脆貉保狱走浸墅柠烤蒜鞘厌驰肺汪佯译俐谅少缀仍协敞算惫平轻炎狼哑躬工程流体力学经典习题答案蚁凋判泞施碳呀欲努希邑徽峰恶辗巫毖丝暗挪盯翘墙岩颂鱼却构纷隧洁成辑箍日志琴绎钻拄榆锻睛诛荷慈配严瞻堤惭窄闹础厩好汝浙馁补肚舶烈误温宇诵衙蹋蛛拯民惰需檄掷丑惠妈它懈埂氖霜罩跋苫讲沾纵獭耻空挽复赠浸邹屯藉炽械低添偏谈微弘囤塞腆渔失盾惠滤雍娶敷啮吟躬棉毒统努颐俺楔痞姬啮筛肯婪呛淬搓伸耿玉营戳茄浩斧绞请览粮亨有枪爱悍啤延端度薪黍耿蔽者淳考峻痛峙酿剿孩汛魂函叁漠乔馏毛剂冰液曙喧秒喳执鹊奉赴葵伺未揽惟云琵谰墩攀捉暑痴杜卸宿辕支雇盟镣放友笼匣槽昏法或嫉雹脑栏媚甭翅勃靶祷罩挡妊锭井煮蚊痘廊州踪宝丈该票梧闸真仇俐坷恿腊倾年俗流体及其主要物理性质1-1. 轻柴油在温度15C时相对密度为0.83,求它的密度和重度。
解:4C时 相对密度:所以,1-2. 甘油在温度0C时密度为1.26g/cm3,求以国际单位表示的密度和重度 解: 1-3. 水的体积弹性系数为1.96109N/m2,问压强改变多少时,它的体积相对压缩1%? 解: 1-4. 容积4m3的水,温度不变,当压强增加105N/m2时容积减少1000cm3,求该水的体积压缩系数βp和体积弹性系数E 解:1-5. 用200L汽油桶装相对密度为0.70的汽油,罐装时液面上压强为1个大气压,封闭后由于温度变化升高了20C,此时汽油的蒸气压为0.18大气压若汽油的膨胀系数为0.0006C-1,弹性系数为14000kg/cm2试计算由于压力及温度变化所增减的体积?问灌桶时每桶最多不超过多少公斤为宜? 解:E=E’g=140009.8104PaΔp=0.18at 所以,从初始状态积分到最终状态得:另解:设灌桶时每桶最多不超过V升,则(1大气压=1Kg/cm2)V=197.6升dVt=2.41升dVp=2.5210-3升G=0.1976700=138Kg=1352.4N1-6. 石油相对密度0.9,粘度28cP,求运动粘度为多少m2/s? 解: 1-7. 相对密度0.89的石油,温度20C时的运动粘度为40cSt,求动力粘度为多少? 解: ν=40cSt=0.4St=0.410-4m2/s μ=νρ=0.410-4890=3.5610-2 Pas1-8. 图示一平板在油面上作水平运动,已知运动速度u=1m/s,板与固定边界的距离δ=1,油的动力粘度μ=1.147Pas,由平板所带动的油层的运动速度呈直线分布,求作用在平板单位面积上的粘性阻力为多少? 解:1-9. 如图所示活塞油缸,其直径D=12cm,活塞直径d=11.96cm,活塞长度L=14cm,油的μ=0.65P,当活塞移动速度为0.5m/s时,试求拉回活塞所需的力F=?解:A=πdL , μ=0.65P=0.065 Pas , Δu=0.5m/s , Δy=(D-d)/2第十三章 流体静力学2-1. 如图所示的U形管中装有水银与水,试求:(1)A、C两点的绝对压力及表压各为多少?(2)A、B两点的高度差为多少?解:① pA表=γh水=0.3mH2O=0.03at=0.39800Pa=2940Pa pA绝=pa+ pA表=(10+0.3)mH2O=1.03at=10.39800Pa=100940PapC表=γhghhg+ pA表=0.113.6mH2O+0.3mH2O=1.66mH2O=0.166at=1.669800Pa=16268Pa pC绝=pa+ pC表=(10+1.66)mH2O=11.66 mH2O =1.166at=11.669800Pa=114268Pa② 30cmH2O=13.6h cmH2Oh=30/13.6cm=2.2cm 题2-2 题2-3 2-2. 水银压力计装置如图。
求管中心A处绝对压力及表压力?(设油品相对密度为0.9)解:pA表=1513.6-10+350.9cmH2O=225.5cmH2O=0.2255at=2.2099104Pa pA绝=pa+ pA表=(10+2.255)mH2O=1.2255at=120099Pa2-3. 今有U形管,内装水和四氯化碳(CCl4),如图所示试求四氯化碳的相对密度解:列等压面方程:30.6cmH2O=17.8cmH2O+8.0 2-4. 图示水罐中气体绝对压强p1=1.5104Pa,高度 H=1m当时的大气压强相当于745mm水银柱高试求玻璃管中水银的上升高度h为多少?解:绝对压强p1=1.5104Pa题2-4 p1+γH=pa-γhghγhgh=74510-313.69800-1.5 104-98001=9.929104-1.5104-0.98104=7.449104Pah=7.449104/(13.69800)=0.56m2-5. 油罐内装相对密度0.8的油品,下有底水,为测定油深及油面上的压力,装置如图所示的U形管水银压力计,测得各液面位置如图试确定油面高度H及液面压力p0解:13.60.5-0.8=6mH2O6-1.6=6-0.4-d油HH=(1.6-0.4)/d油=1.5mP0=6-1.6mH2O=4.4mH2O=0.44at=4.312104Pa (表压) 题2-5图2-6. 油罐内装相对密度0.70的汽油,为测定油面高度,利用连通器原理,把U形管内装上相对密度为1.26的甘油,一端接通油罐顶部空间,一端接压气管。
同时,压气管的另一支引入油罐底以上0.40m处,压气后,当液面有气逸出时,根据U形管内油面高差h=0.70m来推算油罐内的油深H为多少?解:p-γ甘油Δh=p-γ汽油(H-0.4)H=γ甘油Δh/γ汽油+0.4=1.260.7/0.70+0.4=1.66m2-7. 为测定油品重度,用如下装置,经过1管或2管输入气体,直至罐内油面出现气泡为止用U形管水银压力计分别量出1管通气时的Δh1,及2管通气时的Δh2试根据1、2两管的沉没深度H1和H2以及Δh1和Δh2,推求油品重度的表达式解:2-8. 如图所示热水锅炉,h2=50mm,问锅炉内液面在何处?(要求作图表示不必计算)液面上蒸汽压力为多少?右侧两管的液面差h1应为多少?解:① C—D② p0=γhgh2=13.698005010-3pa=6664Pa③ p0=γhgh2=γ水h1 题2-8图 题2-9图 题2-10图2-9. 图示两水管以U形压力计相连,A、B两点高差1m,U形管内装水银,若读数h=0.50m,求A、B两点的压差为多少?解:HA-HB=1-h=1-0.50=0.50m2-10. 欲测输油管上A、B两点的压差,使用U形管压差计,内装水银,若读数h=360mm,油的相对密度0.78,则pA-pB=?解:2-11. 为测水管上微小压差,使用倒U形管,上部充以相对密度0.92的油,若h=125mm,求pA-pB=?解:2-12. 图示为校正压力表的压挤机,密闭室内油的容积V=300cm3,圆柱塞直径d=10mm,柱的螺距t=2mm,摇柄半径r=150mm,求获得250大气压时所需的手摇轮的转数?(根据油的压缩性找出体积平衡关系,p=4.7510-10Pa-1)解: 2-13. 用水银测压计测量容器中的压力,测得水银柱高差为h,如图所示。
若将测压管下移到虚线位置,左侧水银面下降z,如果容器内压力不变,问水银柱高差h是否改变?改变多少?若容器内是空气,重度γa=11.82N/m3,结果又如何?解:p+γ水z=γHgh h`=[p+γ水(z+Δz)]/γHgΔh= h`-h=[p+γ水(z+Δz)-p-γ水z]/γHg=(γ水/γHg) Δz=Δz/13.6≈0.07353Δz所以,水银柱高度差h变大若容器中是空气γa=11.82N/m3p=γHghh=p/γHg 与z无关,h不变2-14. 利用装有液体并与物体一起运动的U形管量测物体的加速度,如图所示U形管直径很小,L=30cm,h=5cm求物体加速度a为多少?解:自由液面方程:其中,x1=-15cm,x2=-15cm,zs1-zs2=h=5cmzs1-zs2=-a(x2-x1)/ga=gh/L=9.80.05/0.3=1.63m/s22-15. 盛水容器,试求其中深度H=1m处的液体压力1) 容器以6m/s2的匀加速度垂直上升时;(2) 容器以6m/s2的匀加速度垂直下降时;(3) 自由下落时;(4) 容器以15m/s2的匀加速度下降时;解:如图建立直角坐标系,则在dp=ρ(Xdx+Ydy+Zdz)中有:X=0,Y=0,Z=-g-a所以,dp= -(g+a) ρdz积分上式:p= -(g+a) ρz+C代入边界条件:z=0时,p=0(表压) 得C=0所以:p= -(g+a) ρz ,令-z=H 得:p=(g+a) ρH(1) 容器以6m/s2的匀加速度垂直上升时:a=6m/s2p=(g+a)ρH=(9.8+6)10001=15800Pa=0.16at(2) 容器以6m/s2的匀加速度垂直下降时:a=-6m/s2p=(g+a)ρH=(9.8-6)10001=3800Pa=0.039at(3)自由下落时:a=-9.8 m/s2p=(g+a)ρH=(9.8-9.8)10001=0(4)容器以15m/s2的匀加速度下降时:a=-15 m/s2p=(g+a)ρH=(9.8-15)10001=-5200Pa=0.053at2-16. 在一直径D=300mm、高H=500mm的圆柱形容器中注入水至高度h1=300mm,然后使容器绕其垂直轴旋转。
试决定能使水的自由液面到达容器上部边缘时的转数n1当转数超过n1时,水开始溢出容器边缘,而抛物面的顶端将向底部接近试求能使抛物面顶端碰到容器底时的转数n2,在容器静止后水面高度h2将为多少?解:自由液面方程:注:抛物体的体积是同底同高圆柱体体积的一半 ① ② ③附证明:抛物体的体积是同底同高圆柱体体积的一半 2-17. 木制提升式闸板,宽度B=1.5m,水深H=1.5m,闸板与导槽间的摩擦系数为0.7,求提升闸板需力多少?解:2-18. 图示油罐发油装置,将直径d的圆管伸进罐内,端部切成45角,用盖板盖住,盖板可绕管端上面的铰链旋转,借助绳系上提来开启若油深H=5m,圆管直径d=600mm,油品相对密度0.85,不计盖板重及铰链的摩擦力,求提升此盖板所需的力的大小提示:盖板为椭圆形,要先算出长轴2b和短轴2a,就可算出盖板面积A=πab)解:由题意 对轴求矩: 2-19. 25m3卧式圆筒形油罐,长4.15m,内径2.54m,油品相对密度0.70,油面高度在顶部以上0.20m,求端部圆面积上所受的液体总压力的大小和压力中心位置?解: 2-20. 1000m3半地下罐,所装油品相对密度为0.8,油面上压力0.08大气压。
钢板的容许应力为σ=1.176108Pa,求最下圈钢板所需厚度?(提示:参考工程力学薄壁筒计算原理)解:2-21. 某处装置一安全闸门,门宽B为0.6米,门高H为1.0米距底0.4米处装有闸门横轴,闸门可绕轴旋转问门前水深h为若干时,闸门即可自行开放?(不计各处的摩擦力)解:法一:h-hD > 0.4 mh > 1.33 m法二:由题意:P1(0.3-e1)≥ P2(0.2 + e2)解得:h ≥ 1.33m2-22. 图示两个半圆球形壳,以螺钉相连接下半球固定于地面,其底部接以测压管,球内装满水,测压管内水面高出球顶1m,球直径2m,试求螺钉所受的总张力解:螺钉所受的总张力等于上半球所受到的静水压力F2-23. 卧式油罐直径2.2m,长9.6m,油面高出顶部0.2m密闭时,油面蒸汽压力为368mm水银柱,油品相对密度0.72,求AA及BB断面处的拉力?解:368mmHg→5004.8mmH2O→6951.1mmOil→6.95mOilA-A断面:B-B断面:2-24. 在盛有汽油的容器的底上有一直径d2=20mm的圆阀,该阀用绳系于直径d1=100mm的圆柱形浮子上设浮子及圆阀的总质量m=100g,汽油相对密度0.75,绳长Z=150mm,问圆阀将在油面高度H为多少时开启?解:由题:临界状态 即 H≥0.174m2-25. 图示水泵吸水管内的圆球形吸入阀,管内液面高H1=5m,管外液面高H2=2m。
实心钢球直径D=150毫米,材料相对密度8.5,安装在一个直径d=100mm的阀座上问吸水管内AB液面上需有多大的真空度时,才能将球阀升起?(提示:先分清球阀在垂直方向上受哪些力的作用,再根据压力体去解)解:由题意:P>G,设真空度为h压力体叠加后只剩V柱(↓)和 V球(↑),产生的向上压力P上向下的力为球阀自重G P上≥G时,阀门可启动,相等为临界状态(p0=-γh=-4.59104Pa)2-26. 玻璃制比重计,管下端小球中装有弹丸,管外径2.0cm,小球体积V0=10cm3;比重计的重量m=25g,汽油相对密度为0.70求比重计淹没在汽油中的深度h?解:2.59.8=0.79.8(10+3.1422h/4)h=8.2cm2-27. 一木排由直径250毫米,长10米的圆木结成用以输送1000牛顿的重物通过河道设木头的相对密度为0.8,过河时圆木顶面与水面平齐问至少需要圆木多少根?解:至少需要圆木x根所以,至少11根第十四章 流体运动学与动力学基础3-1 已知流场的速度分布为(1) 属几元流动?(2) 求(x,y,z)=(1,2,3)点的加速度解:(1)属二元流动2) 3-2 已知平面流动的速度分布规律为解:流线微分方程:代入得:3-3 用直径200mm的管子输送相对密度0.7的汽油,使流速不超过1.2m/s,问每小时最多输送多少吨?解:3-4 油管输送相对密度0.8的煤油,设计输送量为50t/h,限制流速不超过0.8m/s,需多大管径?解:3-5 一离心泵吸入管直径150mm,排出管直径100mm,若限制吸入管流速不超过0.7m/s,求流量及排出管流速各为多少?解:113-6 自水箱接出一个水龙头,龙头前有压力表。
当龙头关闭时,压力表读数为0.8大气压;当龙头开启时,压力表读数降为0.6大气压如果管子直径为12毫米,问此时的流量为多少?8mH2O解: p0=0.8at=8mH2O2对1-1、2-2列伯努利方程:23-7 水从井A利用虹吸管引到井B中,设已知体积流量Q=100米/时,H1=3米,Z=6米,不计虹吸管中的水头损失,试求虹吸管的管径d及上端管中的负压值p3解:① 列1、2的伯努利方程:21② 列1、3的伯努利方程:另解:列2、3的伯努利方程:3-8 为测管路轴线处的流速,装置如图所示的测速管左管接于水管壁,量出不受流速影响的动压强;右管为90弯管,量出受流速影响的总压强把两管连于U形管水银压差计上若⊿h=200毫米,求管轴处的流速?Z2解:Z1注:3-9 相对密度为0.85的柴油,由容器A经管路压送到容器B容器A中液面的表压力为3.6大气压,容器B中液面的表压力为0.3大气压两容器液面差为20米试求从容器A输送到容器B的水头损失?解:列A、B两液面的伯努利方程:213-10 为测量输油管内流量,安装了圆锥式流量计若油的相对密度为0.8,管线直径D=100毫米,喉道直径d=50毫米,水银压差计读数21⊿h=40厘米。
流量系数0.9,问每小时流量为若干吨?解:3-11 为了在直径D=160mm的管线上自动掺入另一种油品,安装了如下装置:自锥管喉道处引出一个小支管通入油池内若压力表读数2.4at,喉道直径d=40mm,T管流量Q=30L/s,油品相对密度0.9,欲掺入的油品相对密度为0.8,油池油面距喉道高度H=1.5m,如果掺入油量为原输送量的10%,B管水头损失设为0.5m油柱,试决定B管直径以多大为宜?解: 列1-1、2-2的伯努利方程:代入伯努利方程:列3-3、4-4的伯努利方程:3-12 图示水箱在水深H=3m处接一水平管线管线由两种直径串联已知:H=3m,d1=20mm,d2=10mm,L1=L2=10m,hw1=0.6mH2O,hw2=1mH2O求:① Q;② i1,i2;③ 绘制水头线解:① 对0-0、2-2两液面列伯努利方程:② 粗管段:细管段:③ 3-13 图示输水管路d1 解:泵的扬程:H=z2-z1+h1-2=29+hw=30mH2O对1-1、2-2两液面列伯努利方程:3-15 图示一管路系统,欲维持其出口流速为20m/s,问需多少功率的水泵?设全管路的水头损失为2m,泵的效率为80%,若压水管路的水头损失为1.7m,则压力表上的读数为多少?解:泵的扬程:H=z2-z1+hw+=20+2+=42.41m对1-1、3-3两液面列伯努利方程:另:对3-3、2-2两液面列伯努利方程:3-16 图示离心泵以20m3/h的流量将相对密度0.8的油品从地下罐送到山上洞库油罐地下罐油面压力0.2大气压,洞库油罐油面压力0.3大气压设泵的效率0.8,电动机的效率0.9,两罐液面差H=40m,全管路水头损失设为5m,求泵及电动机的额定功率(即输入功率)应为多少?解: 对1-1、2-2两液面列伯努利方程:23-17 用8kW的水泵抽水,泵的效率为90%,管径300mm,全管路水头损失设为3m水柱,吸入管线的水头损失设为0.8m水柱求抽水量、管内流速及泵前真空度?(提示:因流量是未知数,能量方程将为一元三次方程,可用试算法求解)23解:由1-1、2-2两液面列伯努利方程得:11对1-1、3两液面列伯努利方程:3-18 输油管上水平90转弯处,设固定支座。 所输油品相对密度为0.8,管径300mm,通过流量100L/s,断面1处压力2.23大气压,断面2处压力2.11大气压求支座受压力大小和方向?解:Q=100L/s=0.1m3/s=AV1=AV2x方向动量方程:y方向动量方程:3-19 水流经过60渐细弯头AB,已知A处管径DA=0.5m,B处管径DB=0.25m,通过的流量为0.1m3/s,B处压力pB=1.8大气压设弯头在同一水平面上,摩擦力不计,求弯头所受推力为多少牛顿?解:对A、B列伯努利方程:由动量方程:x:y: 3-20 消防队员利用消火唧筒熄灭火焰,消火唧筒口径d=1cm,水龙带端部口径D=5cm,从消火唧筒射出的流速V=20m/s,求消防队员用手握住消火唧筒所需的力R(设唧筒水头损失为1m水柱)?解:对1-1、2-2列伯努利方程:动量方程:消防队员所需力为381N,方向向左3-21 嵌入支座的一段输水管,如图所示,其直径由D=1.5m变化为D2=1m,当支座前压力p=4大气压,流量Q=1.8 m3/s,试确定渐缩段中支座所承受的轴向力?解:对1-1、2-2列伯努利方程:由动量方程:支座所承受的轴向力为384KN,方向向右。 3-23 水射流以19.8m/s的速度从直径d=100mm的喷口射出,冲击一固定的对称叶片,叶片的转角α=135,求射流对叶片的冲击力解: 第十五章 流体阻力和水头损失4-1 用直径100mm的管路输送相对密度0.85的柴油,在温度20C时,其运动粘度为6.7cSt,欲保持层流,问平均流速不能超过多少?最大输送量为多少t/h?解: 层流:Rec=2000 4-3 用管路输送相对密度0.9,粘度45cP的原油,维持平均流速不超过1m/s,若保持在层流状态下输送,则管径最大不应超过多少?解:4-4 相对密度0.88的柴油,沿内径100mm的管路输送,流量1.66L/s求临界状态时柴油应有的粘度为多少?解:4-5 研究轴承润滑的问题中,有关的物理参数为:轴的正应力p,摩擦力R,轴径D,轴承长l,轴与轴承间的间隙Δ,润滑剂粘度μ,转数n试用因次分析方法确定它们之间的无因次关系式解:(1) (2)取 p,D,n 作为基本物理量[p]=[ML-1T-2],[R]=[MLT-2],[D]=[L],[l]=[L],[Δ]=[ L],[μ]=[ ML-1T-1],[n]=[ T-1],,,(3) 即4-6 研究流体绕流与流向垂直放置的横卧圆柱体所受的阻力T时,涉及的物理参数为:流体的流速U、流体的粘度μ、密度ρ、圆柱直径D、圆柱长度及圆柱表面粗糙度Δ。 试用因次分析方法中的π定理确定各物理量间的无因次关系式并证明T=CDAρU2 (其中:A=D,称迎流面积),写出阻力系数CD的函数表达式解:(1)(2)选基本物理量ρ,V,D[U]=[ LT-1], [μ]=[ ML-1T-1], [ρ]=[ ML-3], [D]=[L], [l]=[L], [Δ]=[ L], [T]=[MLT-2]M:1=x1 x1=1L:-1=-3x1 + y1 + z1 y1 =1 T:-1=-y1 z1=1同理得:,,所以,令 则 4-7 假定气体中的声速C依赖于密度ρ、压强p和粘度μ试用雷利量纲分析方法求声速C的表达式 (C=)解:C=kρxpyμz[C]=[ LT-1],[ρ]=[ ML-3],[p]=[MLT-2] ,[μ]=[ ML-1T-1] ,[LT-1]=k[ ML-3]x[MLT-2]y[ ML-1T-1]z∴ 4-8 蓖麻油相对密度为0.969,动力粘度为484mPas,流经直径为75mm的管道时,平均流速为5m/s。 今用空气进行模拟试验,气体管道直径为50mm,空气的运动粘度为0.15cm2/s,气流速度为多少,才能保持动力相似? (0.225m/s)解:由题意,欲保持动力相似,应维持雷诺数相等 Vm=0.225m/s4-9 油船吃水面积为400m2,航速5m/s,船长50m在水中进行模型实验时,模型吃水面积为1m2忽略表面张力及粘性力的影响,只考虑重力的影响,与保持原型及模型中的弗汝德数相等,试求模型长度及模型航速大小 (长度:2.5m,航速:1.12m/s)解: 几何相似: Frn=Frm , ∴ 4-10 充分发展了的粘性流体层流,沿平板下流时,厚度δ为常数,且,重力加速度g求证其流速分布关系式为:证:Navier—Stokes方程: 由题意:X=g,Y=0,Z=0; uy=uz=0,ux=u;不可压稳定流:则N-S方程简化为: 由连续性方程:得 则N-S方程进一步简化为:积分:再积分:边界条件:y=0时,u=0 C2=0 y=δ时, C1=-gδ即 所以 4-11 管径400mm,测得层流状态下管轴心处最大流速为4m/s,求断面平均流速。 此平均流速相当于半径为多少处的实际流速?解:; 4-12 求证半径为a的圆管中粘性液体层流状态时,管中摩阻应力极大值为μ为液体粘度,V为平均流速)证: 圆管层流 4-13 用长度5km,直径300mm的钢管,输送相对密度0.9的重油,重量流量200t/h求油温从t1=10C(ν1=25St)变到t2=40C(ν2=1.5St)时,水头损失降低的百分数解: t1=10C时:t2=40C时:4-15 管内紊流时的流速分布规律可写为指数形式 其中um为最大流速,R为管道半径,u和r为任一点所对应的流速和半径求平均流速与最大流速之比解:设 ,则 所以, 4-17 相对密度0.8的石油以流量50L/s沿直径为150mm的管线流动,石油的运动粘度为10cSt,试求每公里管线上的压降(设地形平坦,不计高程差) 若管线全程长10km,终点比起点高20m,终点压强为1大气压,则起点应具备的压头为多少?解:(1)(2)所以,每公里压降:4.7105Pa,起点压头:4.86106Pa4-18 相对密度0.86的柴油,运动粘度0.3St,沿直径250mm的管路输送,全长20km,起点压强17.6大气压,终点压强1大气压,不计高差,求流量。 [提示:因流量未知,需采用试算法可先假定水力摩阻系数λ=0.03,求出流速后,再验算流态]解:试算法Q=0.06m3/s 长管: 假设 λ=0.03则 ,水力光滑区即 4-19 为测量水力摩阻系数λ,在直径305mm,长50km的输油管线上进行现场试验输送的油品为相对密度0.82的煤油,每昼夜输送量5500t,管线终点标高为27m,起点标高为52m,油泵保持在15大气压,终点压强为2大气压油的运动粘度为2.5cSt试根据实验结果计算水力摩阻系数λ值并与按经验公式计算的结果进行对比设管子绝对粗糙度Δ=0.15mm)解: 经验公式: 实验结果: 4-23 自地下罐经离心泵向油库输油流程如图管线直径200mm,吸入段总长20m,地下罐液面至泵中心高差4m油品相对密度0.75,运动粘度4cSt1)若设计输送量为108t/h,那么吸入段的总水头损失应为多少米油柱?(包括沿程水头损失和局部水头损失)(2)泵前真空表读数应为多少?(3)如果泵出口压强为7.25大气压(表压),泵的效率为80%,则泵的额定功率(轴功率)应为多少?1-带保险活门出口;2-弯头(R=3d);3-闸阀;4-透明油品过滤器;5-真空表;6-压力表解:(1)(2)对0-0、5-5列伯努利方程:(3)对6-6、5-5列伯努利方程:第十六章 压力管路的水力计算5-1 直径257mm的长管线,总长50km,起点高程45m,终点高程84m,输送相对密度0.88的原油,运动粘度0.276St,设计输量为200t/h,求水力坡降和总压降。 解:由伯努利方程:5-2 沿直径200mm,长3km的无缝钢管(Δ=0.2mm)输送相对密度0.9的原油若输量为90t/h,其平均运动粘度在冬季为1.09St,夏季为0.42St试求沿程损失各为多少米油柱?解:冬季:层流23.62m 夏季:紊流水力光滑区23.536m5-3 在直径257mm管线中输送相对密度0.8的煤油,其运动粘度为1.2cSt管长50km,地形平缓,不计高差,设计水力坡降为5‰,终点压强1.5at,管线绝对粗糙度Δ=0.15mm试求应用多大管径?解:第二类问题:混合摩擦区泵压:p1=2.1106Pa排量:Q=0.05565m3/s5-4 长输管线,设计水力坡降9.5‰,输送相对密度0.9、运动粘度1.125St的油品,设计输送量为40t/h试求应用多大管径?解:第三类问题:层流 D=0.157m5-5 原油沿直径305mm,长89km的管线输送,由于一年内温度的升降,油的粘度由0.2P变为0.4P,而相对密度由0.893变为0.900设不计高差,沿输油管内压降保持50at,输送过程全部在水力光滑区内试计算流量增减的百分数解:Q1=1.1Q2流量减少数为10%5-6 图示一串联管路,管径、管长、沿程水力摩阻系数和流量分别标于图中,试按长管计算所需的水头H为多少?解:5-7 图示一输水管路,总流量Q=100L/s,各段管径、长度及程水力摩阻系数分别标于图中,试确定流量Q1、Q2及AB间的水头损失为多少?解:又 (2)由(1)、(2)得Q1=0.0446m3/s=44.6L/s Q2=0.0554 m3/s=55.4L/s5-8 图示一管路系统,CD管中的水由A、B两水池联合供应。 已知L1=500m,L0=500m,L2=300m,d1=0.2m,d0=0.25m,λ1=0.029,λ2=0.026,λ0=0.025,Q0=100L/s求Q1、Q2及d2解:按长管计算 A~D伯努利方程: B~D伯努利方程: d2=0.242m5-16 用实验方法测得从直径d=10mm的圆孔出流时,流出容积的水所需时间为32.8s,作用水头为2m,收缩断面直径dc=8mm试确定收缩系数、流速系数、流量系数和局部阻力系数的大小解:收缩系数又5-17 在d1=20mm的圆孔形外管嘴上,加接一个直径d2=30mm、长80mm的管嘴,使液体充满管口泄出试比较加接第二管嘴前后流量的变化解: 5-18 水从固定液面的水箱,通过直径d=0.03m的圆柱形外管嘴流出已知管嘴内的真空度为1.5m水柱,求管嘴出流的流量解:5-19 储水槽顶部通大气,如图所示在水槽的铅直侧壁上有面积相同的两个圆形小孔口A及B,位于距底部不同高度上孔口A为薄壁孔口,孔口B为圆边孔口,其水面高H0=10m问:1)通过A、B两孔口流量相同时,H1与H2应成何种关系?2)如果由于锈蚀,使槽壁形成一个直径d=0.0015m的小孔C,C距槽底H3=5m。 求一昼夜内通过C的漏水量解:(1) 当QA=QB时 (2) 5-20 水沿T管流入容器A,流经线型管嘴流入容器B,再经圆柱形管嘴流入容器C,最后经底部圆柱形管嘴流到大气中已知d1=0.008m,d2=0.010m,d3=0.006m当H=1.2m,h=0.025m时,求经过此系统的流量和水位差h1与h2解:查表得由题:Q=Q1=Q2=Q3所以,经过此系统的流量:Q= Q3=1.13510-4 m3/s由(1)式:由(2)式:二第一章1-4解: 系统内水的总体积,水的体积膨胀系数1/℃水温升高℃时,水的体积膨胀量答:略1-6解:油的运动粘度,密度,则油的动力粘度答:略1-7解:水的动力粘度,密度,则水的运动粘度答:略1-9解:如图示:在锥体表面距离定点处取一宽度为的微圆环,则在处的微圆环的半径由牛顿粘性定律可得,微圆环所受到的摩擦阻力,微圆环旋转时所需的微圆力矩为所以锥体旋转时所需的总力矩答:略1-10解:设轴承内轴旋转角速度为,所以由牛顿粘性定律可得,内轴表面所受的摩擦阻力,内轴旋转的摩擦力矩克服摩擦需要消耗的功率所以内轴的圆周角速度所以内轴转速答:略1-13解:润滑油的动力粘度,活塞表面所受的摩擦阻力,所以活塞运动所消耗的功率答:略第二章 流体静力学2-1解:在图中1-2等压面处列平衡方程:,,因为,所以,所以答:略2-2解:如图示,分别在等压面1-2,3-4处列平衡方程,因为,所以 答:略2-3 解:如图示,在1-2等压面处列平衡方程因为,所以,,所以答:略2-5解:如图示,设A点距1-2等压面的距离为,B点距3-4等压面的距离为,1-2等压面距基准面的距离为,在等压面1-2处列平衡方程,在等压面3-4处列平衡方程,因为,所以,故,又因为,,,所以所以,,所以答:略2-7解:有压力引起的压强如图示,在等压面1-2处列平衡方程,因为,所以,,所以答:略2-10解:如图示,1-1,2-2,3-3分别为等压面,设2-2面距A-B面的距离为,B点到3-3面的距离为在1-1等压面处列等压面方程因为,所以,即在3-3等压面处列等压面方程得,所以答:略2-14解:活塞的受力分析如图示,所以故答:略2-15解:当中间隔板受到的液体总压力为零时,隔板两侧的叶位高度肯定相等,且等于。 在加速度a和g的作用下,容器中液体处于相对静止状态,隔板两侧液体的等压面与水平面的夹角分别为、,所以,因为,即,所以因为,所以答:略2-17解:(1)由题意得单位质量力,,由于容器中水处于相对静止状态,所以压强差微分方程为当,,当,,对方程两边同时积分得,所以,所以(2)若,所以,即(3)若,则,即答:略作业存在的主要问题:l 答题格式不规范,必须的公式、图表以及一些符号说明没有在答案中体现l 个别学生只列公式,不计算,直接将题后答案搬上去甚至有同学将一道题的答案写在了两道题的结果上l 存在较为严重的抄袭现象l 书中答案未必正确,不要迷信书中结果流体力学作业 第二章 22-19解:如图所示,建立坐标系,设容器的旋转速度为,则在,容器开口处液面的表压又因为在顶盖开口处,的表压所以有 ,所以,所以在处容器液面的压强公式为,在容器顶部距中心处取微圆环,则微圆环所受到的压力为所以整个容器顶盖受到的总压力为当时,即所以,,故,所以容器的转速为2-22解: 设闸门宽为,长为闸门和重物共重10000N,重心距轴A的水平间距为1)求液体作用在闸门上的总压力F(2)总压力F的作用点(3)所以作用在A点处的力矩为当闸门刚好打开时,有,即所以, 2-28解:如图示,作用在上半球体上的压强左右对称,所以总压力的水平分力为零。 根据压力体的概念,上半球体的压力体如图阴影部分所示垂直分力方向向上,其大小为2-33 解:如图所示:柱形体在液体中所受的水平分力合力为零,仅受竖直向上的浮力作用浸没在上层流体()中的柱体受到的浮力;浸没在上层流体()中的柱体受到的浮力,所以柱形体所受到的合力,方向竖直向上2-20解:如图所示,建立坐标系,当系统静止时,圆筒内液面距底面,圆管内液面高度为,当系统转动时,圆筒内液面高度下降,圆管内液面上升,根据流体质量守恒定律可知,,即,当系统静止时,活塞底面处液面对活塞的压力等于活塞的重力,即当系统旋转时,液体压强的分布公式为,当,时,,即,可得,所以液体表压的分布公式为在活塞底面半径为处取微元环,则作用在活塞表面()的总力为因为作用在活塞底面上的总压力F等于活塞的总重量,即,所以,所以,因为,,所以2-25解:设闸门宽为,则左侧水体作用在闸门上的总压力为,其作用点位置右侧水体作用在闸门上的总压力为其作用点位置当闸门自动开启时,力和对O点的力矩相等,即,所以2-30解: 如图示,用压流体求解竖直方向上的静水总压力2-32解:设闸门宽为,长为闸门和重物共重10000N,重心距轴A的水平间距为。 以AB板为X轴建立坐标系,距A点X处取一微元dx,则微元体的面积为L1dx,微元体处的压强为所以微元体所受到的压力为该力对A点的力矩所以,整个水施加在闸门上的总力矩为若闸门刚好能打开,则所以第三章3-1解:流场的速度分布为(1) 流动属于三维流动(2) 同理可得: 所以,,,答:3-2解:(1) 该流动属于三维流动,(2) 流场的速度分布为,所以,,3-7解:平面流动的速度分布为,则其流线方程为,则,所以,即:,方程两边积分得:,所以流线方程为3-12解:由题意知:,,,,,根据质量流量守恒定律知,,所以所以总管中的流速3-30解:取平板进、出口,平板上面、流体上表面内的流体为控制体,如图所示由题意知,当从0变化到h时,流速从0线性的增大到,所以速度梯度为设出口截面2-2上面高度为H,在2-2截面处的处取微元体,则微元体的流速为,微元体的流体质量流量为由连续方程知, 所以可得:设平板对作用在流体上的力为,由动量定理知根据力与反作用力的关系得,流体作用在平板上的力,方向向右3-31解:取泵和管的进、出口以及泵管内的体积为控制体,设系统对水的作用力为,由动力定理得:(方向向左),则水对船的作用力(负号表示作用力方向与流速方向相反)3-32解:取进口表面1-1、出口表面2-2和渐缩弯管内表面内的体积为控制体,建立坐标系,如图所示。 由质量守恒定律可知:,所以,在进口1-1和出口2-2表面列伯努利方程,忽略两截面的高度影响所以设支撑管对流体的水平和竖直方向上的作用力分别为、,由动量定理得:所以所以力与水平线之间的夹角=1583-37解:取射流的自由表面、平板壁面和虚线内的圆柱面所包围的体积为控制体如图所示,建立坐标系设支撑平板所需的力为,在平板壁面处流体的速度为0,由动量定理得:(负号表示方向与流速方向相反)3-40解:喷嘴处的出口速度设转速为,则,即所以角速度为取洒水器转臂壁面和两喷嘴出口截面内的体积为控制体积圆柱坐标系固连于洒水器,OZ轴垂直相外,切向与相对速度同向由于洒水器左右对称,所以其相对速度的径向分量对转轴的力矩为零只有其周向分量对转轴存在力矩所以由动量矩定理可得: 3-42解:水的流速;第三章中有关动量矩的计算中,特别是计算旋转坐标系的动量矩的过程中,一定要牢记:单位质量流体的动量矩,即:动量矩矢量是半径矢量与单位质量流体的动量矢量的向量积一定要牢记先后顺序,次序颠倒,会影响结果的正负性(结果的方向性)第四章4-1解:略4-2解:要使两者流动相似,必须保证弗劳德数相等,即符合重力相似准则1)模型的堰顶水头(2) 因为,所以,,因为,所以原型上的流量(3)根据压力相似准则,其欧拉数也相等,即:所以4-3解:要保持模型和原物之间的流动相似,其雷诺数必然相等,即:,所以因为,所以(1)当模型中的流体为20℃的水,查表得(2)当模型中的流体为20℃的空气,查表得4-7解:(1)速度比例尺,汽车在运动过程中主要受粘性力作用,因此要保证流动相似,必须保证雷诺数相等,即:,所以,长度比例尺。 2),所以原型在最大行驶速度时的风阻4-8解:(1)在流动过程中,粘性力起主要作用,所以要保持流动相似,必须保证两者的雷诺数相等,即,所以(2)由欧拉数相等可知:,所以4-12解:因为流量与管径、动力粘度、压力梯度有关,所以可用瑞利法表示流量为,用基本量纲表示方程中各物理量的量纲,则有:根据量纲一致性原则,可得:对L: 对T: 对M: 联立求解可得: ,,所以,其中为系数4-14:解:小球直径、速度、流体密度三种量的量纲组成的行列式值为,所以选取小球直径、速度、流体密度三种量为基本量,根据题意可得阻力的物理方程为,所以根据定理,用基本量表示的零量纲量为:,用基本量纲表示方程中的各物理量:根据量纲一致性原则可得:,,求解方程组得:, ,所以零量纲量为,,所以小球在不可压缩粘性流体中运动的阻力,或者可写为4-15解:堰顶水头(L)、液体的密度()、重力加速度()三种量的量纲的行列式值是,所以选取堰顶水头、液体的密度、重力加速度为基本量根据题意可得流量的物理方程为,所以根据定理,用基本量表示的零量纲量为,,,, 根据物理方程量纲一致性原则,对四个无量纲量有:所以有方程组,,求解得:,,,所以零量纲量为,,,, 所以流量的表达式为解法二:按照瑞利法写出流量的表达式:,用基本量纲表示方程中的物理量:对于L: 对于T: 对于M: 求解方程可得:,,4-17解:叶轮直径的基本量纲为L,转速的基本量纲为,密度的基本量纲为,因为三个量的量纲的行列式值,所以,选取叶轮直径、转速、密度为基本量。 根据题意可得功率的物理方程为,所以根据定理,用三个基本量表示的零量纲量为,,,,根据物理方程量纲一致性原则,对五个无量纲量:所以有方程组:,,,,求解得:,,,,所以,,,,因为为一无量纲数所以第五章作业5-2解:层流流动的速度分布公式为,而管内平均流速为,依题意得:在半径为时,,即,化简得,即,所以,5-3解:查表得:10℃时水的密度为,运动粘度为因为湍流流动时,所以所以凝汽器中水的总流量为5-7解:流动的雷诺数为,所以流动为层流所以沿程损失系数,所以每米管长上的沿程损失为5-10解:流速为流动的雷诺数,为湍流流动管子的相对粗糙度,查穆迪图得,所以沿程损失为5-11解:管中重油的流速为,所以流动的雷诺数,为层流流动在压力油箱液面和喷油器前的截面处列伯努力方程(若不考虑局部损失):,所以所以喷油器前重油的计时压差为5-12解:管中流速为,所以流动的雷诺数为,为层流流动在压力油箱液面和输油管终端截面处列伯努力方程(不计局部损失):,所以5-17解:在两容器液面处列伯努力方程:,,所以有,即,假设流动处于层流,则,代入上式得:,求解得:则相应的雷诺数为,为湍流,由于管子为光管,则,所以代入式,可求出则其相应的雷诺数为,为湍流,由于管子为光管,则,所以代入式,可求出则其相应的雷诺数为,为湍流,由于管子为光管,则,所以代入式,可求出则其相应的雷诺数为,为湍流,由于管子为光管,则,所以代入式,可求出所以,管中的流速为,所以管中的体积流量为三 第三章 流体静力学【3-2】 图3-35所示为一直煤气管,为求管中静止煤气的密度,在高度差H=20m的两个截面装U形管测压计,内装水。 已知管外空气的密度ρa=1.28kg/m3,测压计读数h1=100mm,h2=115mm与水相比,U形管中气柱的影响可以忽略求管内煤气的密度图3-35 习题3-2示意图【解】 【3-10】 试按复式水银测压计(图3-43)的读数算出锅炉中水。