必修一到三角

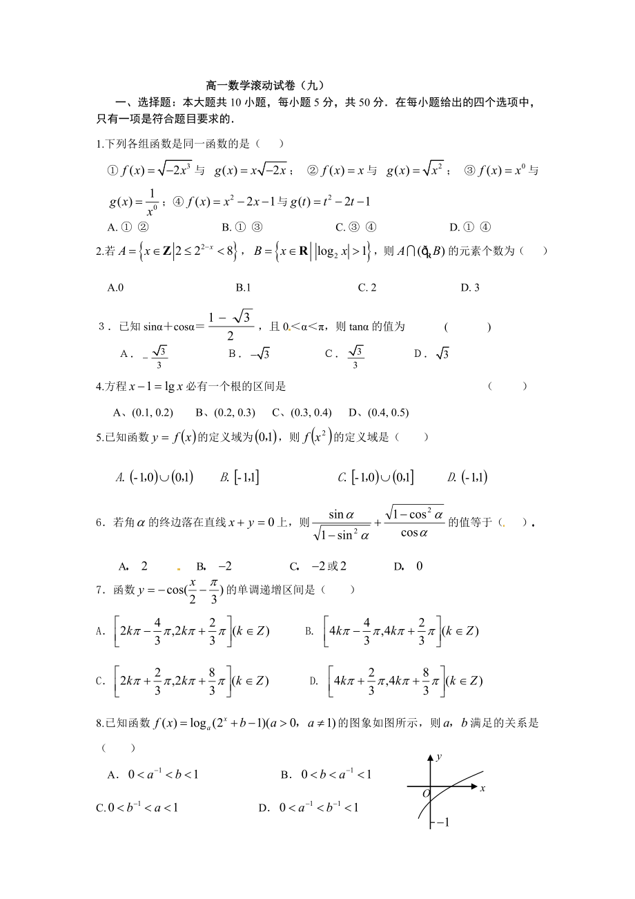
高一数学滚动试卷(九)一、选择题:本大题共10小题,每小题5分,共50分.在每小题给出的四个选项中,只有一项是符合题目要求的.1.下列各组函数是同一函数的是( )①与;②与;③与;④与A. ① ② B. ① ③ C. ③ ④ D. ① ④2.若,,则的元素个数为( ) A.0 B.1 C. 2 D. 33.已知sinα+cosα=,且0<α<π,则tanα的值为 ( )A. B. C. D.4.方程必有一个根的区间是 ( ) A、(0.1, 0.2) B、(0.2, 0.3) C、(0.3, 0.4) D、(0.4, 0.5)5.已知函数的定义域为,则的定义域是( ) A. B. C. D. 6.若角的终边落在直线上,则的值等于( ) A B C 或 D [来源:Z&xx&k.Com]7.函数的单调递增区间是( )A. B. C. D. Oyx8.已知函数的图象如图所示,则满足的关系是( ) A. B. C. D. 9. 已知图象连续不断的函数在区间(b-a=0.1)内有唯一零点,如果用二分法求这个零点(精确度为0.0001)的近似值,那么将区间等分的次数至少是( ) A. 7 B. 8 C. 9 D. 1010.若则就称为影子关系集合,集合M={-1,0,,,1,2,3,4}的所有非空子集中具有影子关系的集合的个数为( ) A. 15 B. 16 C. 28 D. 25 二、填空题:本大题共5小题,每小题5分,共25分.把答案填在题中横线上.11、已知,则的值为 12、已知扇形的周长为10cm,面积为4cm2,则扇形的圆心角为 13、已知函数, 则等于 14.若是奇函数,是偶函数,且,则 15.函数的图象恒过定点, 在幂函数的图象上,则 _______. 三、解答题:本大题共6小题,共75分.解答应写出文字说明、证明过程或演算步骤。
16(本小题满分12分)已知是第二象限角,.(1)求和的值;(2)求的值17(12分)已知函数是否存在常数,使得的值域为?若存在,求出对应的和;若不存在,说明理由.18.(12) f(x)=的定义域为A, 关于x的不等式22ax<2a+x的解集为B, 求使A∩B=A的实数a的取值范围. 19. (12分)已知一元二次函数满足(kR),且该函数的图象与y轴交于点(0,1),在x轴上截得的线段长为,求该一元二次函数的解析式.20.(13)一用户到电信局打算上网开户, 经询问, 有三种月消费方式:(1)163普通方式:上网资费2元/小时;(2)163A方式:每月30元(可上网50小时), 超过50小时以上的资费为2元/小时;(3) ADLSD方式: 每月50元,时长不限(其它因素均忽略不计). (每月以30日计算)(1)分别写出三种上网方式中所用月资费(元)与时间(小时)的函数关系式;(2)在同一坐标系内画出三种上网方式中所用资费(元)与时间(小时)的函数图象;(3)根据你的研究,给这一用户一个合理化的建议, 帮助其选择恰当的资费方式.21.(本小题满分13分)已知定义在R上的函数满足:①对任意的,都有;②当时,有.(1)利用奇偶性的定义,判断的奇偶性;(2)利用单调性的定义,判断的单调性;(3)若关于x的不等式在上有解,求实数的取值范围.。